熵权法
熵权法
熵权法是在综合评价中运用信息论的求解权重的一种方法。熵权法的基本思路是根据指标变异性的大小来确定客观权重。

上面是归一化矩阵,n为行,m为列。i为第i行,j为第j列
第jj项指标下第ii个样本值占该指标的比重:

第j项指标(列)的熵值:

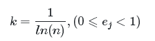
上面有对数,所有要确定有没有意义。通常k取值如下。

第j项指标(列)的差异系数:

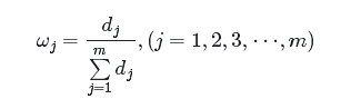
第j项指标(列)的权重:

熵权法的优点
熵值法是根据各项指标指标值的变异程度来确定指标权数的,这是一种客观赋权法,避免了人为因素带来的偏差。
相对那些主观赋值法,精度较高客观性更强,能够更好的解释所得到的结果。
熵权法的缺点
忽略了指标本身重要程度,有时确定的指标权数会与预期的结果相差甚远,同时熵值法不能减少评价指标的维数,也就是熵权法符合数学规律具有严格的数学意义,但往往会忽视决策者主观的意图;
如果指标值的变动很小或者很突然地变大变小,熵权法用起来有局限
